Recently, PH.D student LI Luhan and Prof. WANG Bo, from the Yunnan Observatories of the Chinese Academy of Sciences, have discovered a unique supernova named SN2017ckj. This discovery helps complete the picture of how massive stars evolve and die. The study was published in the Astronomy & Astrophysics.
In general, type IIb supernovae occur when a massive star has lost most of its outer hydrogen layer, leaving only a tiny amount (about 0.1 times the mass of the Sun). Because this layer is so thin, hydrogen signals in the explosion usually fade away quickly. Scientists have long suspected there must be a transitional phase between these stripped supernovae and normal, hydrogen-rich supernovae (SN II).
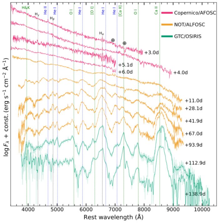
A peculiar event, SN 2017ckj, further supports this suspicion. While it was initially classified as a type IIb supernova, its behavior appears to differ from that of canonical IIb events. Hydrogen features remain detectable for up to about 140 days after explosion, and its light-curve decline shows closer similarities to Type IIL supernovae .
Based on simulating the explosion, the team found that the star had kept about 0.4 solar masses of hydrogen before it exploded. This is significantly more than a normal Type IIb, but less than a standard Type II. It sits perfectly in the middle. This discovery provides crucial evidence for how massive stars gradually lose their outer layers before exploding.

Figure 1: The schematic diagram of supernova explosion and the field of SN2017ckj. Image by LI.

Figure 2: The spectra evolution of SN2017ckj. Image by LI.

Figure 3: The multi-band light curveevolution of SN2017ckj. Image by LI.
Contact:
LI Luhan
Yunnan Observatories, CAS
e-mail:liluhan@ynao.ac.cn