Researchers from the Yunnan Observatories of the Chinese Academy of Sciences (CAS) have advanced the measurement of the supermassive black hole masses and the investigation of the broad-line region (BLR) properties in active galactic nuclei (AGN). The study, led by graduate student XI Wenzhe, Associate Professor LU Kaixing, and Professor BAI Jinming, was published in The Astrophysical Journal under the title “Supermassive Black Hole and Broad-line Region in NGC 5548: 2023 Reverberation Mapping Results.”
Supermassive black holes, located at the centers of most galaxies, accrete surrounding material and release gravitational energy. This energy ionizes nearby gas clouds, which move at velocities of thousands of kilometers per second and produce broad emission lines. The width of these lines and the time delays between variations in the ionizing continuum and the line emission provide information about the size, geometry, and kinematics of the BLR. Reverberation mapping (RM) uses this data to measure black hole masses.
Broad emission lines are a distinctive feature of AGN. Studying the BLR’s geometry and kinematics helps explain phenomena such as changing-look AGN, double-peaked line profiles, and gas outflows driven by radiation or magnetic forces.
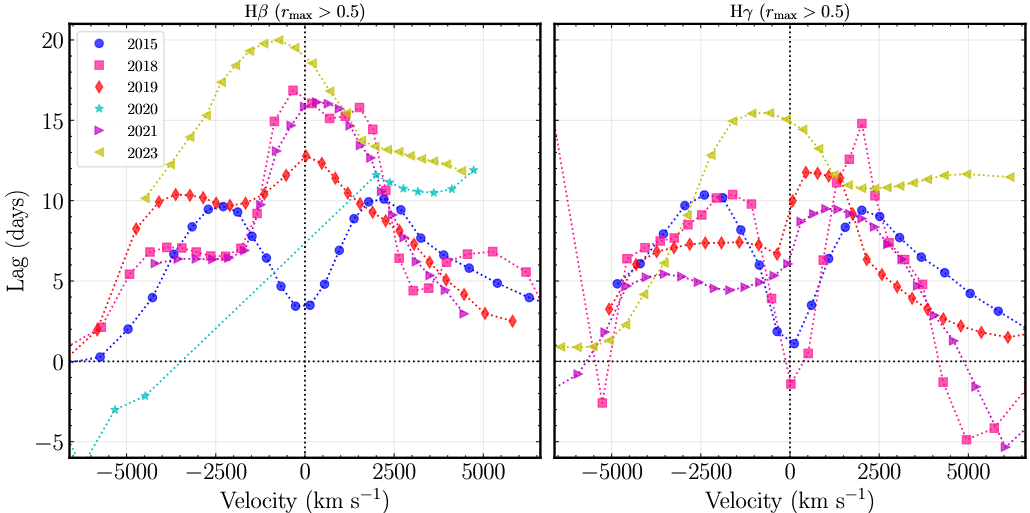
In this study, the team conducted an intensive RM campaign on the Seyfert galaxy NGC 5548 using the 2.4-meter telescope at the Lijiang Observatory. During the 2023 observing season, they obtained 74 spectroscopic observations. Clear time-delay signals were detected in four broad emission lines, showing a clear and persistent radial stratification of the BLR. While this stratified structure remained stable, the kinematical properties of the BLR changed significantly over yearly timescales, indicating that the BLR is a dynamically evolving system.
By combining the 2023 results with earlier RM data, the researchers calculated a supermassive black hole mass consistent with estimates from the M–σ* relation based on the host galaxy’s bulge velocity dispersion. The uncertainty of the mass measurement was evaluated through calibration of the virial factor (f).
These results demonstrate that the BLR in NGC 5548 is dynamically evolving, offering new observational constraints on the interactions between accretion processes, radiation fields, and gas dynamics in AGN. Continued long-term monitoring and dynamical modeling of this archetypal AGN will further clarify the physical mechanisms in the central regions of active galaxies.

Figure 1:Velocity-resolved time delays. Image by XI.
Contact:
XI Wenzhe
Yunnan Observatories, CAS
e-mail:xiwenzhe@ynao.ac.cn