Sitemap
|
Contact
|
Chinese
|
CAS
Search
Home
About Us
News & Events
Research
People
Papers
Conferences
Vacancies & Programs
Telescopes & Instrumentation
Quick Links
News & Events
People
Research
Conferences
Vacancies & Programs
Join Us
Research Progress
Study Confirms Angular Momentum Transfer Mechan...
(2026-03-13)
Researchers from Yunnan Observatories applied revised angular momentum transport models originally for low-mass stars to nitrogen-sequence Wolf-Rayet stars. The findings demonstrate that internal g...
Researchers Find Non-Monotonic Luminosity-Depen...
(2026-03-10)
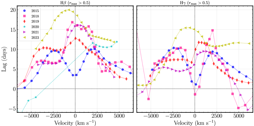
Dr. FENG Haicheng from Yunnan Observatories, CAS, and his collaborators report a luminosity-dependent, nonmonotonic continuum lag in a changing-look AGN, posing a new challenge to standard accretio...
Research Reveals Interchange Reconnection Dynam...
(2026-02-10)
Using Solar Orbiter/EUI high-resolution data, this study analyzes interchange reconnection within a small-scale fan-spine topology. It reveals quasi-periodic dynamics and a forming separatrix curta...
Telescopes & Instrumentation
2.4m Telescope
New Vacuum Solar Telescope
40m Radio Telescope
1m Telesope
Research Groups
Applied Astronomy Group
Astrometry and Application Group
Binary Population Synthesis Group
Binaries & Variables Group
Exoplanetary Systems Group
Laboratory of Astronomical Technologies
Solar Site Survey and Coronal Observation Group
Radio Astronomy Group
Stellar Astrophysics Group
Solar Physics Group
Observatories
Key Laboratories
Copyright © 2013 Yunnan Observatories, CAS All Rights Reserved.
Address: 396 Yangfangwang, Guandu District, Kunming 650216, Yunnan, China
Tel: +86 871 63920919 Fax: +86 871 63920599